Ara
Gümüşhane
Kapalı
7°
Adana
Adıyaman
Afyonkarahisar
Ağrı
Amasya
Ankara
Antalya
Artvin
Aydın
Balıkesir
Bilecik
Bingöl
Bitlis
Bolu
Burdur
Bursa
Çanakkale
Çankırı
Çorum
Denizli
Diyarbakır
Edirne
Elazığ
Erzincan
Erzurum
Eskişehir
Gaziantep
Giresun
Gümüşhane
Hakkari
Hatay
Isparta
Mersin
İstanbul
İzmir
Kars
Kastamonu
Kayseri
Kırklareli
Kırşehir
Kocaeli
Konya
Kütahya
Malatya
Manisa
Kahramanmaraş
Mardin
Muğla
Muş
Nevşehir
Niğde
Ordu
Rize
Sakarya
Samsun
Siirt
Sinop
Sivas
Tekirdağ
Tokat
Trabzon
Tunceli
Şanlıurfa
Uşak
Van
Yozgat
Zonguldak
Aksaray
Bayburt
Karaman
Kırıkkale
Batman
Şırnak
Bartın
Ardahan
Iğdır
Yalova
Karabük
Kilis
Osmaniye
Düzce
42,8191 %0.19
50,1953 %-0.01
5.986,11 % 0,51
Gümüşhane Haberleri Duyuru Fazla mera ve yaylaklar kiralanacak

Fazla mera ve yaylaklar kiralanacak

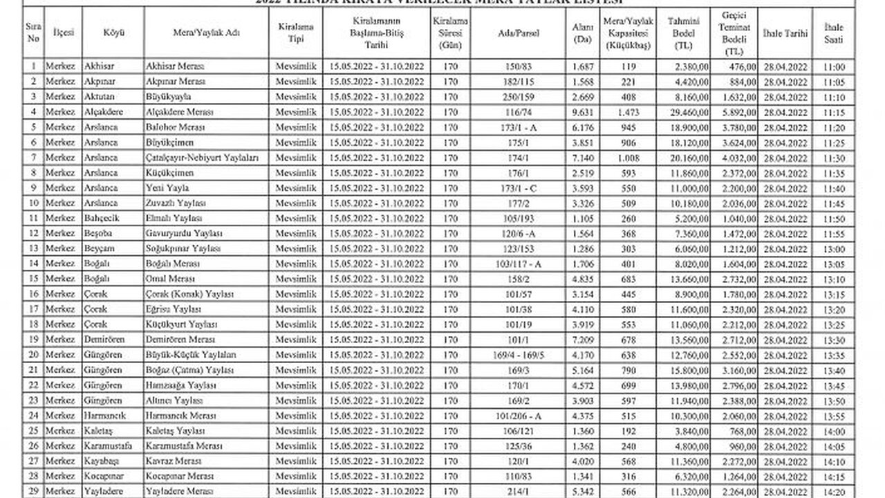
Gümüşhane’de il genelinde ihtiyaç fazlası mera ve yaylaklar pazarlık usulüyle mevsimlik olarak kiraya verilecek.

737
Gösterim
1 Dakika
Okunma Süresi

Merkez ilçeye bağlı 30 mera ve yaylak, Köse ilçesine bağlı 1 mera, Kürtün ilçesine bağlı 9 mera ve yaylak ile Torul ilçesine bağlı 12 mera ve yaylak olmak üzere ihtiyaç fazlası toplam 52 mera ve yaylak 28 Nisan 2022 Perşembe günü 2886 Devlet İhale Kanunu’nun 51/g maddesi gereğince pazarlık usulü ile mevsimlik kiraya verilecek.

İhale Gümüşhane Tarım ve Orman İl Müdürlüğü Vali Gazi Şimşek Çiftçi Evi Toplantı Salonunda Mera İhale Komisyonu huzurunda yapılacak.

İhaleyle ilgili şartname mesai saatleri içerisinde İl Tarım ve Orman Müdürlüğü Çayır, Mera ve Yem Bitkileri Şube Müdürlüğü’nden ücretsiz olarak alınabilecek.

Yorumlar
* Bu içerik ile ilgili yorum yok, ilk yorumu siz yazın, tartışalım *