Gümüşhane Tarım ve Orman İl Müdürlüğü Gümüşhane il, ilçe ve bunlara bağlı belde, köy ve mahallelerde bulunan ihtiyaç fazlası mera ve yaylaklarla ilgili ihale duyurusunu yayımladı.
30/04/2024 tarihi Salı günü 2886 Devlet İhale Kanununun 51/g maddesi gereğince pazarlık usulü ile mevsimlik kiraya verilecek alanlar İl Tarım ve Orman Müdürlüğü Çiftçi Evi Toplantı Salonunda Mera İhale Komisyonu huzurunda yapılacak.
Şartname mesai saatleri içerisinde İl Tarım ve Orman Müdürlüğü Çayır Mera ve Yem Bitkileri Şube Müdürlüğü’nden ücretsiz olarak alınabilecek ihalede göçerlere kiralanan alanlarda sözleşme süresi bitmeden süre uzatımı talep edilmesi halinde sözleşme hükümlerinin yerine getirilmiş olması şartıyla süre Mera Komisyonu tarafından 5 yıla kadar uzatılabileceği ifade edildi.
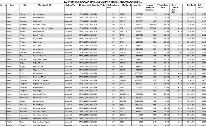
Toplamda 53 kalem ve 414 bin dekar alanda 170 günlüğüne kiralanacak yaylak ve meraların tahmini kiralama bedeli toplam 1,1 milyon TL olarak belirlendi.
İhaleye katılacaklarla ilgili şartname şu şekilde:
a) Hayvan sahiplerinin nüfus cüzdanı fotokopileri,
b) Kendisi ve yanında çalışanlar için sabıka kaydı (Devletin aleyhinde işlenen suçlar yönünden),
c) İhaleye girmek isteyen hayvan sahibinin ikamet ettiği ilin İl/İlçe Tarım ve Orman Müdürlüklerinden büyükbaş hayvanlar için Türkvet kayıt sisteminden alınacak güncel “Hayvan Varlığı Listesi”, küçükbaş hayvanlar için koyun keçi kayıt sisteminden alınacak güncel “İşletmedeki Hayvanlar Raporu” ile birlikte İhale Komisyonu’na müracaat edeceklerdir.
ç) İhaleye girmek isteyen hayvan sahibi belirlenen tahmini bedelin % 20’sini geçici teminat olarak yatıracaktır. İhale sonucunda ise kendisiyle sözleşme imzalanan hayvan sahiplerinden kati teminat alınacak ve geçici teminat iade edilecektir.
d) Posta ile yapılacak müracaatlarda meydana gelecek gecikmeler kabul edilmeyecektir.
e) Mera ve yaylak ihalesine girebilmek için, mera/yaylak kapasitesinin en az % 50'si kadar hayvan varlığına sahip olunması gereklidir. Mera/yaylak kapasitesinin % 50'sinden az hayvan varlığına sahip hayvan sahipleri o meranın/yaylanın ihalesine katılamazlar.
f) Hayvanları için ihtiyacını karşılayacak mera/yaylak kiralayan hayvan sahipleri, aynı hayvanlar için başka mera/yaylak ihalelerine katılamazlar.
g) Grup kiralamalarında, grubu temsilen bir kişi diğerlerinin belgelerini temin ederek ihaleye katılabilecektir.
ğ) Kiralama ihalesine katılmak isteyenlerin ihale saatinde ihalenin yapılacağı Gümüşhane İl Tarım ve Orman Müdürlüğü Çiftçi Evi Salonunda hazır bulunması ve yukarıda belirtilen belgeleri ihale komisyonuna ibraz etmeleri gerekmektedir.
h) Hesaplamalar küçükbaş hayvan üzerinden yapılmıştır. Büyükbaş hayvan kiralama taleplerinde, büyükbaş hayvan adetleri küçükbaş hayvana dönüştürülecektir.
i) Mücbir sebeplerden (salgın hastalık vb….) kaynaklı olarak Tarım ve Orman Bakanlığınca İl dışı ve İl içi hayvan hareketlerinin yasaklanması, durdurulması hallerinde idare ihaleyi yapıp yapmamakta, iptal edip etmemekte ve sözleşme yapıp yapmamakta serbesttir. Bu gibi durumlarda kaynaklanan zararlardan idarenin bir sorumluluğu bulunmamaktadır.
İlan Olunur.
İşte kiralanacak alanlar.
